Bagaimana Cara Kerja Internet
Internet adalah tulang punggung dari web, sebuah teknologi yang menjadikan Web dapat diakses. Hal paling dasarnya, internet adalah sebuah jaringan besar dari beberapa komputer yang saling berkomunikasi satu sama lain
Jaringan Sederhana
Saat dua buah komputer ingin berkomunikasi, kita harus “menghubungkan” mereka, baik secara fisik (biasanya menggunakan kabel Ethernet) atau tanpa kabel (wirelessly) (contohnya menggunakan WiFi atau Bluetooth)

Jaringan ini tidak terbatas pada dua buah komputer saja. Kita dapat menghubungkan sebanyak-banyaknya komputer, sesuai yang kita mau. Tapi cara menghubungkannya akan menjadi lebih rumit.
Misalnya, kita akan menghubungkan 10 buah komputer satu sama lain, jadi kita harus memiliki 45 kabel dan 9 colokan setiap komputer

Untuk mengatasi kerumitan ini, maka setiap komputer yang berada dalam jaringan dapat dihubungkan ke satu komputer yang berperan khusus, yang disebut router. Router ini hanya memiliki satu tugas, yaitu sebagai pemberi sinyal. Untuk memastikan bahwa jika ada komputer yang mengirimkan pesan, maka pesan itu dapat sampai ke komputer yang dituju
Misalnya, untuk mengirimkan pesan ke komputer B, maka komputer A mengirimkan pesan ke router, dan router meneruskannya ke komputer B tanpa mengantarkan pesan tersebut ke komputer C
Dengan penggunaan router, jaringan di atas hanya membutuhkan 10 kabel dengan setiap komputer memiliki 1 colokan dan router membutuhkan 10 colokan

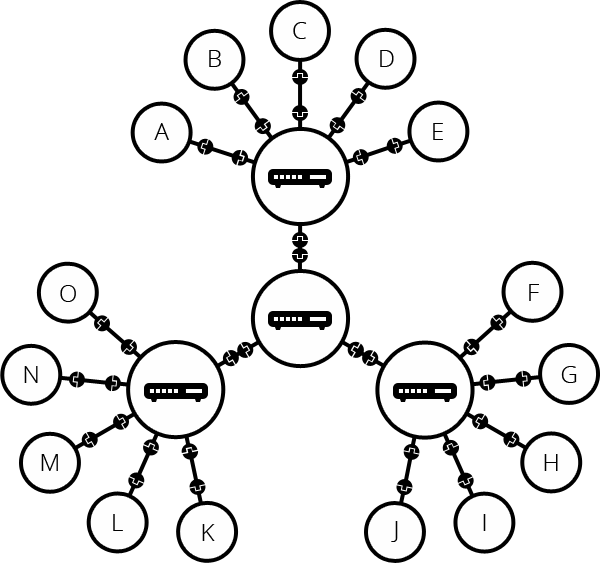
Jaringan di dalam Jaringan ?
Skema di atas cukup sederhana. Karena hanya memiliki 10 buah komputer dalam jaringan. Bagaimana untuk skema dalam menghubungkan 100, 1000, bahkan jutaan komputer ?
Tentu, kita tidak dapat menggunakan 1 router saja. Tapi, kita tahu kalau router juga merupakan sebuah komputer (tapi berperan khusus). Oleh karena itu, kita juga dapat menghubungkan router dengan router lainnya

Dengan menghubungkan komputer ke router, lalu router ke router, kita memiliki skema jaringan yang tidak terbatas

Skema di atas semakin mendekatkan kita kepada apa yang disebut sebagai jaringan internet. Tapi, selama ini kita hanya membangun satu jaringan (yaitu jaringan kita). Orang-orang di luar sana juga membutuhkan internet, jadi mereka pun dapat membangun jaringan seperti ini
Sekarang, masing-masing dari kita sudah memiliki jaringan. Tapi, bagaimana cara untuk kita dapat berkomunikasi dengan jaringan orang lain ?. Misalnya, saya berada di Makassar dan aku ingin mengirim pesan kepada seorang teman di Jakarta
“Tidak mungkin” bagi saya untuk menghubungkan router millikku dengan router dia, menggunakan kabel dengan jarak yang sangat jauh (antar pulau :v)
Oleh karena itu, kita memanfaatkan kabel yang sudah terhubung di tempat masing-masing, misalnya kabel telepon atau kabel listrik. Misalnya, jaringan telepon sudah terhubung di tempat kita dan juga di tempat orang lain, jadi kita bisa memanfaatkan skema ini
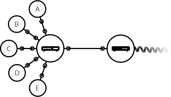
Untuk menghubungkan jaringan kita ke jaringan telepon, maka kita membutuhkan satu peralatan khusus yang disebut modem. Modem akan mengirim informasi dari jaringan kita ke sistem informasi yang dimiliki jaringan telepon, dan sebaliknya

Jadi, sekarang kita sudah terhubung ke jaringan telepon. Langkah selanjutnya adalah mengirim pesan dari jaringan kita ke jaringan yang dituju. Untuk itu, kita harus menghubungkan jaringan kita ke sebuah Internet Service Provider (ISP). Sebuah perusahaan ISP akan menggunakan beberapa router yang telah terhubung satu sama lain untuk mengakses router dari ISP lain.
Jadi, pesan dari jaringan kita akan melalui jaringan ISP untuk sampai ke jaringan yang dituju
Dan, dari keseluruhan skema dan proses ini, jaringa internet telah terbangun. Internet terdiri dari seluruh infrastruktur jaringan ini

Bagaimana menemukan komputer dalam jaringan yang dituju ?
Jika kita ingin mengirim pesan ke sebuah komputer, maka kita harus tentukan komputer yang ingin dituju. Semua komputer terhubung ke sebuah jaringan dan memiliki alamat unik untuk mengidentifikasinya, yang disebut IP Address. Yaitu, sebuah alamat dari 4 angka yang dipisahkan oleh titik, contohnya : 192.168.2.10
Tapi, alamat tersebut cukup sulit untuk selalu kita ingat. Untuk membuatnya lebih mudah, kita akan membuat alias dari IP tersebut, yang dinamakan domain name. Contoh, alamat google.com adalah nama domain dari alamat IP 173.194.121.32.
Jadi, nama domain berguna untuk memudahkan kita menemukan komputer yang dituju

Internet dan Web
Dari yang kita tahu, saat kita melakukan browsing dengan web browser, kita biasanya menggunakan nama domain untuk mengakses website. Jadi, apakah internet dan web itu adalah hal yang sama ?. Tidak sesederhana itu.
Setelah kita bahas, internet adalah sebuah infrastruktur teknis yang memungkinkan miliaran komputer dapat terhubung satu sama lain. Di antara komputer-komputer tersebut, beberapa komputer disebut sebagai web servers, yang dapat mengirimkan pesan ke web browser
Jadi, Internet adalah infrastrukturnya, dan web adalah layanan yang dibuat dalam infrastruktur ini. Selain web, ada beberapa layanan juga yang dibuat di dalam Internet, seperti email dan IRC

















